¿Alguna vez te has preguntado cómo puedes simplificar el análisis de datos en tus proyectos? En el mundo de la estadística, las distribuciones muestrales son clave para tomar decisiones informadas y obtener conclusiones relevantes. Si eres estudiante, profesional o simplemente un entusiasta de los números, dominar este concepto te abrirá las puertas a una nueva dimensión de comprensión analítica. En este artículo, te mostraremos paso a paso cómo calcular distribuciones muestrales utilizando Excel, una herramienta poderosa que puede facilitar tus tareas y hacer que los resultados sean más accesibles y visualmente atractivos. ¡Prepárate para descubrir cómo convertir datos en información útil con solo unos clics!
¿Alguna vez te has preguntado cómo calcular distribuciones muestrales en Excel? Si eres estudiante, investigador o simplemente alguien interesado en el análisis de datos, saber cómo realizar este cálculo puede ser de gran utilidad para tus proyectos. En este artículo, te enseñaremos paso a paso a calcular distribuciones muestrales utilizando la popular herramienta de hojas de cálculo: Excel. ¡No te lo pierdas!
Una distribución muestral es una distribución de probabilidad de una determinada estadística basada en muchas muestras aleatorias de una sola población.
Este tutorial explica cómo hacer lo siguiente con distribuciones muestrales en Excel:
- Generar una distribución muestral.
- Visualice la distribución muestral.
- Calcule la media y la desviación estándar de la distribución muestral.
- Calcular probabilidades respecto de la distribución muestral.
Generar una distribución muestral en Excel
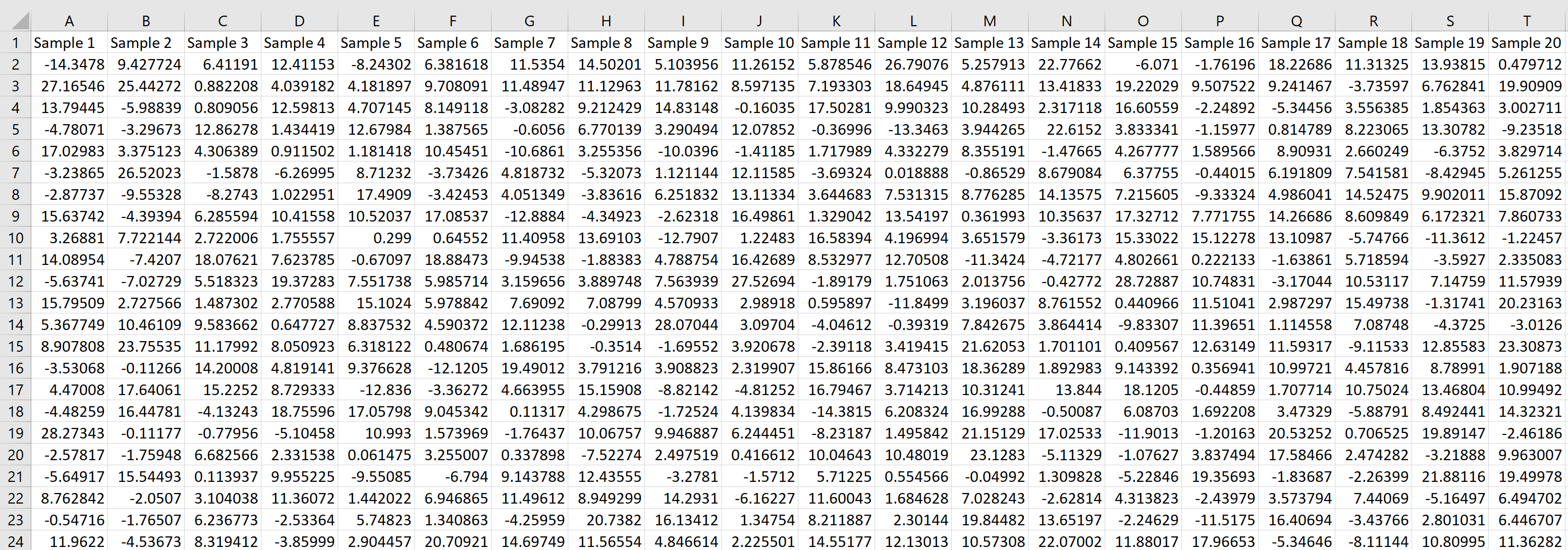
Supongamos que queremos generar una distribución muestral compuesta por 1.000 muestras en las que cada tamaño de muestra es 20 y proviene de una distribución normal con una media de 5.3 y una desviación estándar de 9.
Podemos hacer esto fácilmente escribiendo la siguiente fórmula en la celda A2 de nuestra hoja de trabajo:
=NORM.INV(RAND(), 5.3, 9)
Luego podemos pasar el cursor sobre la esquina inferior derecha de la celda hasta que aparezca una pequeña + Aparece y arrastre la fórmula hacia la derecha 20 celdas y hacia abajo 1000 celdas:

>Cada fila representa una muestra de tamaño 20 en la que cada valor proviene de una distribución normal con una media de 5,3 y una desviación estándar de 9.
Encuentre la media y la desviación estándar
Para encontrar la media y la desviación estándar de esta distribución muestral de medias muestrales, primero podemos encontrar la media de cada muestra escribiendo la siguiente fórmula en la celda U2 de nuestra hoja de trabajo:
=AVERAGE(A2:T2)
Luego podemos pasar el cursor sobre la esquina inferior derecha de la celda hasta que aparezca una pequeña + aparece y haga doble clic para copiar esta fórmula a cada dos celdas en la columna U:

>Podemos ver que la primera muestra tuvo una media de 7,563684, la segunda muestra tuvo una media de 10,97299, y así sucesivamente.
Luego podemos usar las siguientes fórmulas para calcular la media y la desviación estándar de las medias muestrales:

>tTeóricamente, la media de la distribución muestral debería ser 5,3. Podemos ver que la media muestral real en este ejemplo es 5.367869que se acerca a 5,3.
Y teóricamente la desviación estándar de la distribución muestral debería ser igual a s/√n, lo que sería 9/√20 = 2,012. Podemos ver que la desviación estándar real de la distribución muestral es 2.075396que se acerca a 2.012.
Visualice la distribución de muestreo
También podemos crear un histograma simple para visualizar la distribución muestral de las medias muestrales.
Para hacerlo, simplemente resalte todas las medias de muestra en la columna U, haga clic en el Insertar pestaña, luego haga clic en Histograma opción bajo el Gráficos sección.
Esto da como resultado el siguiente histograma:

>Podemos ver que la distribución muestral tiene forma de campana con un pico cercano al valor 5.
Sin embargo, a partir de los extremos de la distribución podemos ver que algunas muestras tenían medias mayores que 10 y otras tenían medias menores que 0.
Calcular probabilidades
También podemos calcular la probabilidad de obtener un determinado valor para una media muestral, en función de la media poblacional, la desviación estándar de la población y el tamaño de la muestra.
Por ejemplo, podemos usar la siguiente fórmula para encontrar la probabilidad de que la media muestral sea menor o igual a 6, dado que la media poblacional es 5,3, la desviación estándar poblacional es 9 y el tamaño de la muestra es:
=COUNTIF(U2:U1001, «<=6»)/COUNT(U2:U1001)

>Podemos ver que la probabilidad de que la media muestral sea menor o igual a 6 es 0,638.
Esto está muy cerca de la probabilidad calculada por la Calculadora de distribución muestral:

>Recursos adicionales
Introducción a las distribuciones muestrales
Calculadora de distribución de muestreo
Introducción al teorema del límite central
Distribuciones muestrales en Excel
Cómo calcular distribuciones muestrales en Excel – Preguntas frecuentes
Preguntas frecuentes sobre cómo calcular distribuciones muestrales en Excel
A continuación, responderemos algunas preguntas frecuentes relacionadas con el cálculo de distribuciones muestrales en Excel. Si estás interesado en aprender más sobre este tema, ¡has llegado al lugar correcto!
1. ¿Qué es una distribución muestral?
Una distribución muestral se refiere a la distribución de una estadística en todas las muestras posibles de un tamaño dado tomadas de una población determinada. Es una herramienta utilizada en inferencia estadística para hacer estimaciones sobre una población basándose en muestras. Para obtener una distribución muestral, es necesario calcular la estadística de interés en todas las muestras posibles y representarla gráficamente.
Para obtener más información sobre el cálculo y la interpretación de las distribuciones muestrales, puedes consultar el siguiente artículo.
2. ¿Cómo se calcula una distribución muestral en Excel?
Calcular una distribución muestral en Excel es relativamente sencillo. Puedes seguir los siguientes pasos:
Si deseas obtener una explicación más detallada sobre cómo realizar estos cálculos en Excel, puedes consultar este tutorial.
3. ¿Cuál es la importancia de las distribuciones muestrales en la inferencia estadística?
Las distribuciones muestrales desempeñan un papel fundamental en la inferencia estadística porque nos permiten realizar estimaciones y tomar decisiones sobre una población utilizando información de muestras. Conociendo la distribución muestral de una estadística, podemos obtener intervalos de confianza, realizar pruebas de hipótesis y tomar decisiones basadas en evidencia estadística. En resumen, las distribuciones muestrales proporcionan el marco teórico necesario para realizar inferencias sobre una población a partir de muestras representativas.
Si deseas aprender más sobre inferencia estadística, te recomiendo este documento que profundiza en el tema.
4. ¿Existe alguna función específica en Excel para calcular distribuciones muestrales?
Excel cuenta con varias funciones estadísticas que pueden ser utilizadas para calcular algunas distribuciones muestrales comunes. Por ejemplo, la función ALEATORIO.ENTRE puede ser utilizada para generar muestras aleatorias de una población. Además, las funciones PROMEDIO, DESVEST y otras pueden ser utilizadas para calcular la media, la desviación estándar, etc., en las muestras obtenidas.
Si necesitas calcular distribuciones muestrales más complejas, podrías considerar el uso de herramientas estadísticas más avanzadas, como R o Python. Estas herramientas suelen ofrecer una amplia gama de funciones estadísticas y métodos de cálculo para distribuciones muestrales específicas.
Espero que estas respuestas hayan aclarado tus dudas sobre cómo calcular distribuciones muestrales en Excel. Recuerda siempre consultar fuentes confiables y ampliar tu conocimiento sobre estadísticas para utilizar estas técnicas de manera adecuada en tus análisis e investigaciones.
[automatic_youtube_gallery type=»search» search=»Cómo calcular distribuciones muestrales en Excel» limit=»1″]
Cómo Calcular Distribuciones Muestrales en Excel
¿Alguna vez te has preguntado cómo puedes simplificar el análisis de datos en tus proyectos? En el mundo de la estadística, las distribuciones muestrales son clave para tomar decisiones informadas y obtener conclusiones relevantes. Si eres estudiante, profesional o simplemente un entusiasta de los números, dominar este concepto te abrirá las puertas a una nueva dimensión de comprensión analítica. En este artículo, te mostraremos paso a paso cómo calcular distribuciones muestrales utilizando Excel, una herramienta poderosa que puede facilitar tus tareas y hacer que los resultados sean más accesibles y visualmente atractivos.
¿Qué es una Distribución Muestral?
Una distribución muestral se refiere a la distribución de una estadística en todas las muestras posibles de un tamaño dado tomadas de una población determinada. Es fundamental en la inferencia estadística para hacer estimaciones sobre una población basándose en muestras.
Pasos para Calcular Distribuciones Muestrales en Excel
- Generar una distribución muestral: Supongamos que quieres generar una distribución muestral compuesta por 1.000 muestras, cada una de tamaño 20, de una distribución normal con una media de 5.3 y una desviación estándar de 9. En la celda A2 de tu hoja de trabajo, escribe la siguiente fórmula:
- Encontrar la media y la desviación estándar: Para obtener la media de cada muestra, introduce en la celda U2:
- Visualizar la distribución muestral: Selecciona todas las medias de muestra en la columna U, ve a la pestaña Insertar y selecciona histograma. Esto te permitirá ver la forma de la distribución.
- Calcular probabilidades: Para calcular la probabilidad de que la media muestral sea menor o igual a un valor dado, puedes usar la siguiente fórmula:
=NORM.INV(RAND(), 5.3, 9)
Luego, usa el relleno automático arrastrando la fórmula hacia la derecha 20 celdas y hacia abajo 1.000 celdas.
=AVERAGE(A2:T2)
Utiliza el relleno automático para aplicar esta fórmula a las demás celdas.
=COUNTIF(U2:U1001, «<=6")/COUNT(U2:U1001)
Visualizando Resultados
Luego de seguir estos pasos, tendrás una distribución muestral presentada visualmente, lo cual es esencial para interpretar los resultados. Un histograma es una herramienta excelente para visualizar los datos y entender cómo se distribuyen.
Recursos Adicionales
Preguntas Frecuentes
1. ¿Qué es una distribución muestral?
Una distribución muestral se refiere a la distribución de una estadística en todas las muestras posibles de un tamaño dado tomadas de una población determinada. Es una herramienta utilizada en inferencia estadística para hacer estimaciones sobre una población basándose en muestras. Para profundizar más, puedes consultar el siguiente artículo.
2. ¿Cómo se calcula una distribución muestral en Excel?
Calcular una distribución muestral en Excel es relativamente sencillo. Puedes seguir los siguientes pasos:
- Ingresa los datos de tu población en una columna de Excel.
- Selecciona una muestra aleatoria de la población y registra sus valores en otra columna.
- Repite el paso anterior para obtener varias muestras de la misma población.
- Calcula la estadística de interés (como la media, la desviación estándar, etc.) para cada una de las muestras obtenidas.
- Registra los valores de esa estadística en otra columna.
- Utiliza las herramientas de Excel, como promedio y desviación estándar, para obtener la media y la desviación estándar de la estadística calculada en todas las muestras.
3. ¿Por qué es importante entender las distribuciones muestrales?
Entender las distribuciones muestrales es crucial para realizar inferencias sobre una población a partir de muestras. Te permite evaluar la variabilidad de las estadísticas y la precisión de tus estimaciones. Además, es fundamental en el desarrollo de métodos estadísticos y en la validación de modelos de datos.

Cardajoliiu: ¡Me alegra que les haya servido! A mí me pasó algo similar la semana pasada, estaba intentando entender todo el rollo de la estadística para un trabajo y me sentía perdido entre tantas fórmulas. Pero con los consejos que compartiste, pude manejar mejor los datos en Excel y ahora todo parece más fácil. ¡Mil gracias por la ayuda!
El amine: ¡Me encantó el artículo! Siempre me ha parecido complicado el tema de las distribuciones muestrales, pero tu explicación en Excel me aclaró un montón de cosas. La última vez que hice un análisis de datos para mi proyecto, casi me vuelvo loco con las fórmulas, pero ahora ya tengo más claro qué hacer. ¡Gracias por compartirlo!
Lazaro rafael: ¡Totalmente de acuerdo, el amine! Este artículo me vino de perlas. Justo el otro día estaba batallando con unos datos para mi tesis y no sabía por dónde empezar. Gracias a tus tips en Excel, ahora me siento más seguro. ¡A seguir aprendiendo!